Low-temperature heat capacity of single-walled carbon nanotube systems

 

Fig18

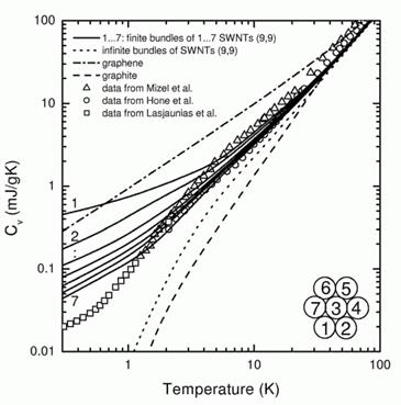
Fig. 1. Calculated heat capacity of bundles of SWNTs of 1 to 7 tubes (9,9), infinite bundles, graphene, and graphite in comparison with available experimental data [1].

The main contribution to the heat capacity of nanotube systems is the vibrational one because the electronic one is negligible even at a few Kelvin[1].  The quasi-one-dimensionality of the nanotube systems has as a consequence the existence of four acoustic branches, which can result in a specific behaviour of the phonon heat capacity low temperature (LT) T. It can be analyzed using the non-interacting phonon picture and the quantum-statistical expression for the heat capacity of a system of Bose particles

 


where  is the phonon energy and D(ω) is the phonon density of states (PDOS). The high-temperature (or classical) limit of this expression does not depend on the particular structure of the carbon system and is equal to 3kB/m ~ 2078 mJ/gK with m being the atomic mass of carbon. The LT behavior of C is closely connected to the dimensionality of the system. For low enough temperatures, when the population of the lowest optical branches can be ignored, the heat capacity is determined by the acoustic ones alone. If ωo is the frequency of the lowest-energy optical phonon, then the optical phonons contribution to C can be ignored for temperatures below To ~ ħωo/6kB for which the factor multiplying D(ω) becomes smaller than say 0.1. In the interval below To, C(T) can be derived from the expression above once the acoustic-phonon dispersion is known.

 

For the 3d system graphite, for any of the three acoustic branches ω ~ q, therefore, D(ω) ~ ω2 and C(T) ~ T3. For the 2d system graphene, for the in-plane longitudinal acoustic (LA) and transverse acoustic (TA) phonons ω ~ q, D(ω) ~ ω and C(T) ~ T2; for the out-of-plane acoustic (ZA) phonons ω ~ q2, D(ω) = const and C(T) ~ T.

 

For any nanotube, for the longitudinal acoustic (LA) and twist acoustic (TW) phonons ω ~ q, D(ω) = const and C(T) ~ T. For the transverse acoustic (TA) phonons ω ~ q2, D(ω) ~ ω–1/2 and C(T) ~ T1/2. The heat capacity will follow these power laws below To which depends on the value of ωo. For example, for tubes (10,10) ωo ~ 20 cm-1 and To ~ 5 K. At very low temperature, C will increase as T1/2 while nearing To from below C will increase linearly with T. At temperatures higher than To, C(T) will be determined by the optical phonon branches. The peculiar T1/2 dependence has been corroborated by recent experimental data (for details, see [1]).

 

In the case of bundles of SWNTs or MWNTs, the theoretical results for C(T) of isolated SWNTs are valid. The effect of bundling on the heat capacity is shown in Fig. 1 in the case of bundles of 1 to 7 tubes (9,9).

 

It is clear that the heat capacity of isolated tubes exhibits three different regimes below T = 100 K. At very low temperatures, only TA phonons are excited and C(T) ~ T1/2 (slope 1/2 on the log-log plot). With the increase of T, the contribution of LA and TW phonons to C begins to prevail over that of the TA phonons favoring C ~ T (slope 1). Finally, above T ~5 K, the optical phonons begin to contribute to the heat capacity and its T dependence is modified again. We note that similar dependence may be expected for the thermal conductivity that is also mainly phonon and in a certain approximation is proportional to the specific heat.

 

The T1/2 part diminishes with the addition of tubes to the bundle because the slope of the TA branch (i.e., the group velocity) is proportional to the radius of the bundle. Consequently, with the increase with the bundle lateral size, the relative contribution of the TA branches at a given temperature decreases. In the limit of infinite lateral size, the heat capacity of the bundle is expected to have the behavior of a 3d system, i.e., C ~ T3. It is seen in Fig. 1 that with the increase of the number of tubes in the bundle, the theoretical curve tends to the experimental data (symbols). Our predictions agree well with recent data on bundles measured down to 0.1 K and fitted with 0.043T0.62 + 0.035T3 (Lasjaunias et al.). The power of the first term can only be explained with contributions of the acoustic branches with linear (LA and TW branches) and quadratic (TA branches) dispersion.

 

The heat capacity of MWNTs is expected to have similar regimes as SWNT bundles. To verify this, calculations of C(T) were carried out for MWNTs with 1 to 5 layers of the type (5m,5m), m = 1, 2, …, 5. It can be seen in Fig. 2 that, starting from a single layer (5,5) and adding more layers, the T1/2 part diminishes and disappears and is eventually replaced by a linear T dependence. The part of the C(T) curve with predominant contribution of TA phonons depend again on the tube radius R since the slope of the TA branch is proportional to R. In the limit of infinite tube radius, the heat capacity should behave as that of a 3d system with C ~ T3. The theoretical curves disagree with the experimental data possibly because of the reduced interlayer coupling in the samples (Yi et al.) or presence of MWNTs with a large number of layers (Mizel et al.).

 

References

 

1. V. N. Popov, Phys. Rev. B 66 (2002) 153408-1/4.

 

Fig19

Fig. 2. Calculated heat capacity of MWNTs consisting of tubes (5m,5m), m = 1, 2, …, 5 in comparison with experimental data [1].

 

 

Back

Valentin Popov

September 6, 2005